31:19961997×19971996-19961996×19971997答案:10000
解析:这道题要求考生观察到19961997-19961996=1,19971997-19971996=1
注意到这个问题就解决了
原式=(19961996+1)19971996-19961996×(19971996+1)
=19971996-19961996
=10000
32:(1+0.12+0.23)(0.12×+0.23+0.34)-(1+0.12+0.23+0.34)(0.12+0.23)答案:0.34
解析:设1+0.12+0.23=a,0.12+0.23=b

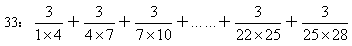
答案:27/28
解析:原式=(1-1/4)+(1/4-1/7)+(1/7-1/10)+……+(1/25-1/28)
=1-1/28
=27/28
34:30×(1/15+1/35+1/63+1/99+1/143+1/195) 答案:4
解析:这道题的关键是注意到所有的分母都可以拆成两个奇数的积,
15=3×5,35=5×7,63=7×9,99=9×11,143=11×13,195=13×15
差都是2,所以
原式=30×1/2(1/3-1/5+1/5-1/7+1/7-1/9+1/9-1/11+1/11-1/13+1/13-1/15)
=30×1/2(1/3-1/15)
=4
35:(1/8+1/24+1/48+1/80+1/120+1/168+1/224)×64答案:14
解析: 原式=(1/2+1/6+1/12+1/20+1/30+1/42+1/56)×16
分母为2=1×2,6=2×3,12=3×4,20=4×5,30=5×6,42=6×7,56=7×8
=(1-1/8)×16
=14
36:(1+1/2+1/3+……+1/1999)(1/2+1/3+……+1/2000)-(1+1/2+1/3+……+1/2000)(1/2+1/3+……+1/1999)答案:1/2000
解析:把原式转化成a(b+1/2000)-(a+1/2000)b
=1/2000(a-b)
1/2000
37:4/3+16/15+36/35+64/63+100/99+144/143+196/195+256/255
38:1-200这200个自然数中,能被6或8整除的数有多少个?
答案:50个。
解析:因为200÷6=33余2,所以能被6整除的有33个,200÷8=25,所以能被8整除的有25
所以能被6或8整除的有33+25=58
但是这里有重复,能被6整除的数里有些也能被8整除比如48,所以48既属于33个能被6整除的数,也属于25个能被8整除的数。既能被6整除也能被8整除的数被加了两次,去掉即可。关键是既能被6整除也能被8整除的数有多少个。
我们先求出6和8的最小公倍数,然后求有多少个数能被最小公倍数整除。
最小公倍数显然是24,200÷24=8余8,
所以 58-8=50
39:如果六位数1992()()能被95整除,那么它的最后两位数是
答案:15
解析:199200被95出所得余数是80,如果199200加上15则余数80也要增加15,此时商增加1,刚好整除,也就是说199215能被95整除。如果199215在加95,就不具备1992()()的形式了。
所以最后两位数是15。
40:只修改21475的某一位数字,就可以使修改后的数能被225整除。
答案:四种符合要求的答案。把1改为0,把4改为3,把1改为9,把2改为1。
解析:关键要注意到225=25×9,所以修改后的数既要能被25整除也要能被9整除。
该数末两位数已经是75,可以被25整除,这个不用修改,关键怎么能让它被9整除。
被9整除的数的特征是它的各位数字加起来能被9整除
2+1+4+7+5=19,只要减掉1或者加上8就行,所以可以得出上述四个答案。